오늘은 Spring Mass Damper시스템을 예시로 간단한 미방으로 시스템이 꾸며진다는 것을 이야기했는데요. 이번에는 선형시스템, 제어공학에서 이야기하는 선형시스템 Linear System이 어떤 것인지를 또 이야기를 해보려고 합니다.
들어가기 전에
먼저 이 글의 이전글은
[Control System 기초] Spring Mass Damper 시스템 소개
이번에는 제어시스템에서 기초 중에 기초가 되는 Spring Mass Damper 시스템을 소개하려고 합니다. 제어공학에서 가장 기초가 되는 모델이지요. 지금 위의 그림이 스프링-매스-댐퍼 시스템을 간략히
pinkwink.kr
입니다. 제어공학에 대한 글들은 왠만하면 영상으로도 함께 공유하려고 하는데요. 그 영상들의 Youtube 재생목록은
https://www.youtube.com/playlist?list=PL83j7f4UkozGvMxi77cV9oiJI375VuTm3
Control System
www.youtube.com
입니다.
Linear System
제어공학에서 어떤 시스템이 선형(linear)이라고 이야기를 하면 해당 시스템은 superposition을 만족해야 한다고 합니다.

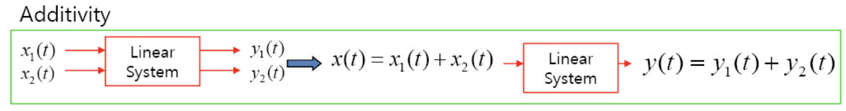
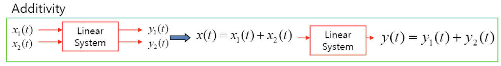
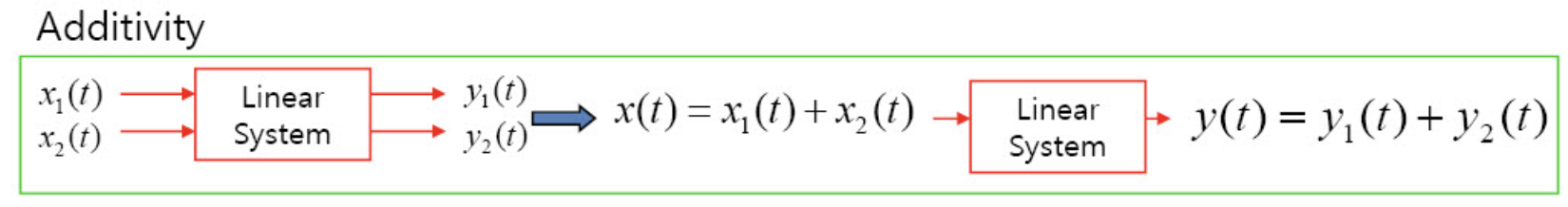
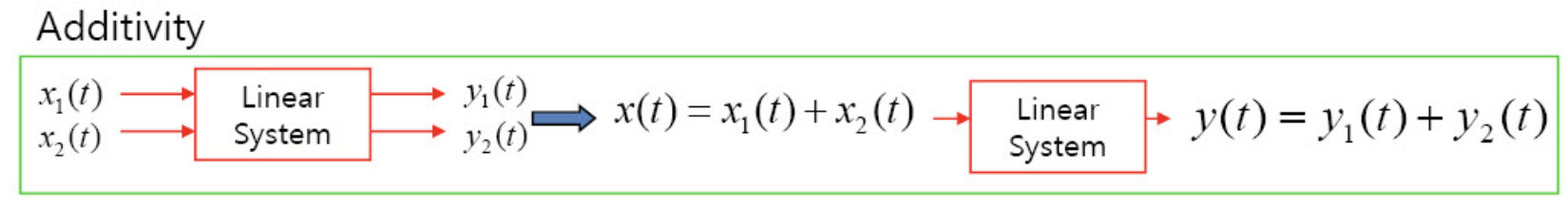
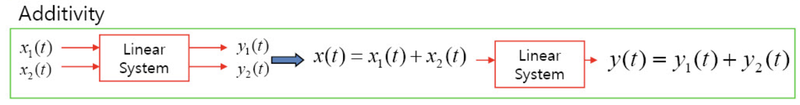
Super Position은 Homogeneity와 additivity를 의미합니다.

Homogeneity는 어떤 입력의 결과가 있을때, 다시 그 입력에 상수배를 취해서 입력하면 그 결과도 딱 상수배만큼 되어서 나타난다는 것입니다.

그리고 additivity는 어떤 두 입력에 대한 출력이 각각 있을때, 해당 입력을 더해서 입력하면 그 출력이 각각의 입력의 출력의 합과 같아야 한다는 것입니다.

위 그림은 Superposition을 한 번에 설명한 그림입니다. 좀더 많은 설명과 예제까지는 아래 영상에서 다뤄보도록 하겠습니다.
영상
'Theory > ControlTheory' 카테고리의 다른 글
| [Control System 기초] 테일러 급수 전개를 이용한 시스템 근사화 (2) | 2022.04.19 |
|---|---|
| [Control System 기초] Spring Mass Damper 시스템 소개 (5) | 2022.03.25 |
| Python으로 수행하는 주파수 분석 - FFT, STFT (6) | 2022.02.09 |
| Python class로 만드는 1차 저역통과필터 Low Pass Filter (10) | 2021.03.19 |
| [필터연재] 2차 디지털 Band Pass, Band Stop 필터 (18) | 2017.01.11 |
| [필터연재] 2차 디지털 저역/고역 통과필터 (18) | 2017.01.06 |
| [필터연재] 1차 디지털 저역/고역 통과필터 (17) | 2017.01.05 |