우리나라의 월드컵이 끝났네요. 한동안 이것저것 걱정은 잠시 접어두고 월드컵에 푹 빠져있었습니다. 우루과이전을 마치고 흘린 차두리 선수의 눈물이 머릿속에 오래 남아 그 좋아하던 술도 그날은 마시지 않고, 그저 아쉬움을 삼켰네요. 그래도 우루과이와의 마지막 경기는 2002년 월드컵의 그 멋진 경기들 만큼이나 오래 기억될 것 같습니다. 아주 멋진 경기였다고 생각합니다.^^
- Balancing Robot
- [밸런싱 로봇 만들기] Yaw 움직임을 포함한 동역학
- Balancing Robot
- [밸런싱 로봇 만들기] Lego Mindstorm 동역학 따라하기
- Balancing Robot
- [밸런싱 로봇 만들기] 동역학 모델 구축하기 (최종)
- Balancing Robot
- [밸런싱 로봇 만들기] 기구부 재구성 및 모터 파라미터 수립
- Balancing Robot
- [밸런싱 로봇 만들기] LQR 선형제어기 설계 및 MATLAB을 이용한 시뮬레이션
- Balancing Robot
- [밸런싱 로봇 만들기] 작은 로봇을 하나 완성해서 큰 기쁨을 얻다
위의 판매페이지의 그림을 보면
이렇는데요. 좀 로봇 높이가 낮은게 아닌가 해서 높이를 높이도록 봉을 교체했습니다. 모터는 엔코더 내장형이구요.
실제 구입한 기구부입니다.
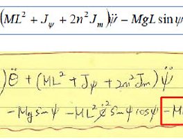
사실 이전에 수립한 동역학방정식[관련글]에 의하면, 위의 모터 파라미터를 다 알 필요가 없습니다. 알파와 베타만 알면 되죠. 그런데 문제가 하나 생겼습니다.
데이터시트를 모터 판매처에 요청해서 받았더니 딱 저 세개의 값이...ㅠㅠ 문제는 마찰계수를 알 수가 없네요. 문제가 생겨도 단단히 생긴 모양입니다. 그러나 우리에게는 실험이라는 막강한 무기(^^)가 있지요. 이렇게 허접하게 판매해도 되는지.ㅠㅠ. 일단 데이터시트상에서 알 수 있는 값부터 찾아 보도록 하겠습니다.
저항은 나와 있구요. 토크상수의 단위를 유도한 동역학에 적용하기 위해 단위를 변경했습니다.
또 역기전력 상수도 단위를 변경했구요
50:1 기어비를 사용하고 있으므로 n=50까지 적용하면 저렇게 alpha를 알 수 있습니다.
문제는 beta인데요. 마찰계수 f_m을 알기 전에는 beta를 확정지을 수가 없습니다.. ㅠㅠ 일단 이 문젠 좀 놔두고 휠의 이너셔를 찾아야 겠네요
휠의 제원인데요. 그냥 간단히 원통형이라고 가정하면
이렇게 구해집니다. 그런데 기구부를 잘 관찰하면, 모터 축과 휠을 연결하는 축커플링이 있어요.
저걸 따라 측정해서 휠 이너셔에 포함 시키겠습니다.
그래서 합한 결과 휠의 이너셔가 0.00030861이라고 계산했습니다.
일차계 시스템의 특성 파악 !
1차계 시스템의 경우
위와 같이 각속도(omega)와 인가전압(v)에 대한 전달함수가 위와 같습니다. 이를 가지고, 계단응답 특성을 조사하면
위와 같습니다. 정상상태일때는 인가전압*alpha/beta의 관계가 있습니다. 그리고, 시정수 66.6% 지점을 읽으면, 그때 시간값이 J/beta가 됩니다. 여기서 관성모멘트에는 휠과 모터축이 같이 들어가 있기 때문에 놔두고, 정상상태의 속도값을 읽어서 beta를 확정지음으로서 마찰계수를 찾도록 하겠습니다.
모터의 마찰계수 찾기 !
모터에 5V를 인가했을대 각속도의 그래프입니다. 진동하는 부분은 실제 엔코더의 값을 차분하면서 생기는 문제입니다. 0.2초 후에는 확실히 정상상태에 들어간다는 것을 다른 실험에서도 확인해서 0.2초부터 끝까지의 평균값을 구하도록 하겠습니다.
왼쪽 오른쪽 모터를 5V부터 20V까지 인가해서 측정했습니다. 위의 표에서 평균각속도가 정상상태에서의 평균각속도값입니다. 위의 f_m을 구하는 과정은
저 식에 대입했을때
위의 식으로 마찰계수 f_m을 찾을 수 있습니다. 다시 표를 보면, f_m이 0V에 가까운 값과 아닌값이 차이가 크다는 것을 확인할 수 있고, 또한 아주 크다는 것도 확인할 수 있습니다. 이는 저가형 DC모터에서 역시 저가형 기어박스(동축이 아닌)를 사용한 경우 자주 확인되는 경우입니다. 그리고, 우리는 이전 경험에 의해 실제 제어는 대체로 5V이내에서 이뤄진다는 사실을 알고 있어서 5V의 데이터에 좀 더 큰 가중치를 주고 평균을 구해서
마찰 계수 f_m을 위의 값 1.7747을 사용하겠습니다.
오랜만의 포스팅이었네요. 요즘 제가 졸업을 위해 발악중입니다. 너무나도 초라한 실적에 좌절 중이기도 합니다. 어쩌겠습니다. 중간에 그저 돈 좀 벌어보겠다고 과하게 알바를 했던 저에게 잘못이 있겠지요...ㅠㅠ 이후에는 모터를 제외한 나머지 파라미터를 수립하도록 하겠습니다.
'Robot > Project' 카테고리의 다른 글
| [밸런싱 로봇 만들기] 작은 로봇을 하나 완성해서 큰 기쁨을 얻다 (192) | 2010.07.18 |
|---|---|
| 자이로센서와 가속도센서를 이용한 각도추정 1차필터 (76) | 2010.07.03 |
| [밸런싱 로봇 만들기] 10. LQR 선형제어기 설계 및 MATLAB을 이용한 시뮬레이션 (174) | 2010.07.03 |
| [밸런싱 로봇 만들기] 8. 동역학 모델 구축하기 (최종) (56) | 2010.06.22 |
| [밸런싱 로봇 만들기] 7. Lego Mindstorm 동역학 따라하기 (46) | 2010.06.20 |
| [밸런싱 로봇 만들기] 6. Yaw 움직임을 포함한 동역학 (2) (26) | 2010.06.14 |
| [밸런싱 로봇 만들기] 5. Yaw 움직임을 포함한 동역학 (1) (46) | 2010.06.12 |